Background
Approximately 50% of patients with myelofibrosis (MF) discontinue ruxolitinib after 3 years, mostly due to disease progression, suboptimal response or cytopenia. Outcome after ruxolitinib discontinuation is poor with a median overall survival (OS) of approximately 14 months. Lysine-specific demethylase-1 (LSD1) is a histone demethylase critical for self-renewal of malignant hematopoietic stem cells and for maturation of progenitor cells. Bomedemstat is an oral LSD1 inhibitor clinically active in patients with myeloproliferative neoplasms (MPN) and has shown clinical activity as a single-agent in patients with MF.
Aims
This is an ongoing, open-label, Phase 2 study of the combination of bomedemstat and ruxolitinib in treatment-naïve patients with MF or those with a sub-optimal response to ruxolitinib. The objectives of this are to evaluate the safety and tolerability of the combination, the optimal dosing of bomedemstat in this regimen, and to assess the efficacy of the combination as assessed by spleen size reduction and symptom reduction using the Myelofibrosis Symptom Assessment Form (MFSAF).
Methods
Cohort A is comprised of patients with a sub-optimal response to an adequate trial of ruxolitinib defined as splenomegaly not reduced by >35% from baseline or symptoms scores that have not improved by >50%. Cohort A patients must have been on a stable dose of ruxolitinib for ≥8wks. Cohort B is comprised of treatment-naïve patients with MF who require treatment per guidelines. Patients in Cohort A remain on the entry dose of ruxolitinib while Cohort B patients received a starting ruxolitinib dose of 10 mg BID throughout the study. All patients received concomitantly, a starting dose of bomedemstat of 0.4mg/kg/d. Dose adjustments up were allowed every 4 weeks to achieve a target platelet count of 50 x 10 9/L (40-90 x 10 9/L range) Down titrations could be made at any time in the interest of patient safety.
Results
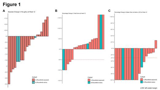
At the data cut-off of 30 June 2023, 16 men and 16 women with a median age of 64 (range: 47-81) years were enrolled. Case distribution was PMF, N=19 (59.4%); PPV-MF, N=7 (21.9%); and PET-MF, N=6 (18.8%). Mutational profile of driver genes was JAK2 V617F, N=24 (75%); JAK2 exon 12, N=1 (3.1%); and CALR mutations, N=7 (21.9%). Six patient (18.8%) harbored high-molecular risk (HMR) mutations ( ASXL N =4; EZH2, N=2). At enrollment, the median white blood cell count (WBC), hemoglobin (Hb), platelet count, and lactate dehydrogenase (LDH) were 10.21 x 10 9/L (2.4-50.8 x 10 9/L), 9.4 g/dL (6.7-12.1g/dL), 215 x 10 9/L (100-906 x 10 9/L) and 504 IU/L (107-2174 UL), respectively. Ten patients (31.2%), 19 patients (59.4%) and 3 patients (9.4%) belonged to the Dynamic International Prognostic Scoring System (DIPSS) high, intermediate-2 and intermediate-1 risk categories, respectively. The median spleen size was 5cm (5-16cm) below left costal margin (BLCM). Twenty-four patients were enrolled in Cohort A with a median treatment duration of ruxolitinib of 128 (13-668) weeks. Cohort B has enrolled 8 patients.
The median duration of ruxolitinib + bomedemstat was 12 (1-26) weeks. In 20 evaluable patients at Week 12 (Cohort A, N=17; Cohort B, N=3), 12 patients (60%) had stable ( ∆<± 1.0 g/dL) or improved Hb (>1.0 g/dL) (Cohort A: 11/17, 64.7%; Cohort B: 1/3, 33.3%), 5 patients (25%) had ≥50% reduction in MF-SAF Total Symptom Score (TSS) (Cohort A: 4/17, 23.5%; Cohort B: 1/3, 33.3%) and 18 patients (65%) had ≥ 30% spleen length reduction (Cohort A: 15/17, 88.2%; Cohort: 3/3, 100%) (Figure 1A-C). In six patients evaluable for molecular responses by droplet-digital polymerase chain reaction at Week 12, 4 patients (67%) had reductions in JAK2 V617F allele frequencies with 1 patient (17%) having ≥50% reduction.
The most common non-hematologic adverse events (AEs) were diarrhea (Grade 1-2, N=16; Grade 3-4, N=0); malaise (Grade 1-2, N= 6; Grade 3-4, N=0); oedema (Grade 1-2, N=7; Grade 3-4, N=0) and dysgeusia (Grade 1-2, N=5; Grade 3-4, N=0). There were no safety signals, dose-limiting toxicities, or deaths related to drug.
Conclusions
These early results suggest that the addition of bomedemstat to a ruxolitinib regimen is well tolerated, improves splenomegaly and symptom scores, and stabilizes hemoglobin both in the frontline and second-line setting. Enrollment in ongoing.
Disclosures
Rienhoff Jr.:Imago Biosciences, Inc., a subsidiary of Merck & Co., Inc., Rahway, NJ, USA: Ended employment in the past 24 months.

This feature is available to Subscribers Only
Sign In or Create an Account Close Modal